DAFTAR ISI
Rangkuman, 32 Contoh Soal Gelombang Pembahasan & Jawaban Kelas XI
Pengertian Gelombang
Gelombang adalah getaran yang merambat baik melalui medium maupun tanpa medium.
Jenis-Jenis Gelombang
Berdasarkan arah rambat dan arah getar
dibagi menjadi dua yaitu gelombang transversal dan gelombang longitudinal
Gelombang Transversal
gelombang transversal adalah gelombang yang arah rambatannya tegak lurus terhadap arah rambatannya tegak lurus terhadap perambatannya. Contohnya dalam gelombang pada tali atau gelombang pada air. Istilah yang sering ada pada gelombang transversal diantaranya:
- Puncak gelombang yaitu titik-titik tertinggi pada gelombang (b & f)
- Dasar gelombang yaitu titik-titik terendah pada gelombang ( d & h)
- Bukit gelombang yaitu lengkungan obc atau efg
- Lembah gelombang yaitu cekungan cde atau ghi
- Amplitudo (A) yaitu nilai simpangan terbesar yang dapat dicapai (bb1 atau dd1)
- Panjang gelombang (l) yaitu jarak antara dua puncak berurutan (bf) atau jarak antara dua dasar berurutan (dh)
- Periode (T) adalah selang waktu yang diperlukan untuk menempuh dua puncak/ dua dasar yang berurutan
Gelombang Longitudinal
Gelombang longitudinal adalah gelombang yang arah getarnya searah dengan arah perambatannya. Dalam gelombang longitudinal terdapat rengggangan dan rapatan. Contoh dari gelombang longitudinal adalah gelombang pada slinki dan gelombang bunyi.
Panjang gelombang (λ) merupakan jarak antara dua pusat renggangan yang berdekatan atau jarak antara dua pusat rapatan yang berdekatan.
Berdasarkan Mediumnya
Dibagi menjadi dua:
- gelombang mekanik yaitu gelombang yang membutuhkan media dalam merambat. Contoh gelombang tali dan bunyi.
- gelombang elektromagnetik yaitu gelombang yang tidak membutuhkan media dalam merambat. Contoh cahaya, gelombang radio dan sinar X.
Berdasarkan Amplitudonya
Dibagi dua :
- gelombang berjalan dengan amplitudo tetap
- gelombang stasioner dengan amplitudo berubah sesuai posisinya
Hubungan Panjang Gelombang, Cepat Rambat, Periode, dan Frekuensi.
Hubungannya dirumuskan sebagai berikut:
![]()
Keterangan :
v = cepat rambat gelombang (m/s)
λ = panjang gelombang (m)
f = frekuensi (Hertz)
T = periode gelombang (sekon)
Gelombang Berjalan
Simpangan Getar Gelombang
gelombang berjalan di tuliskan dalam persamaan berikut
y = ±A sin (ωt ± kx)
dengan :
y = simpangan gelombang (m)
A = amplitudo gelombang (m)
ω = frekuensi sudut (rad/s)
k = bilangan gelombang
x = jarak titik ke sumber (m)
t = waktu gelombang (s)
A bernilai + jika gelombang permulaannya merambat ke atas
A bernilai - jika gelombang permulaannya merambat kebawah.
Tanda sinus akan bernilai negatif (ωt-kx) jika gelombang permulaannya merambat ke kanan.
Tanda sinus akan bernilai positif (ωt + kx) jika gelombang permulaannya merambat ke kiri.
Kecepatan Partikel dan Percepatan Partikel Pada Gelombang Berjalan.
Kecepatan partikel pada gelombang berjalan dapat dirumuskan sebagai berikut:
v = A ω cos (ωt ± kx)
Percepatan partikel pada gelombang berjalan dapat dirumuskan sebagai berikut:
a = -Aω2 sin (ωt ± kx)
Sudut Fase, Fase dan Beda Fase Dari Gelombang Berjalan
sudut fase dari gelombang berjalan di tuliskan dalam persamaan berikut
θ = ωt - kx
Fase gelombang merupakan bagian atau tahapan gelombang dirumuskan sebagai berikut

Keterangan:
j = fase gelombang
t = waktu perjalanan gelombang (s)
T = periode gelombang (s)
x = jarak titik dari sumber (m)
λ = panjang gelombang (m)
ω = frekuensi sudut
k = bilangan gelombang
Gelombang Stasioner
Gelombang stationer merupakan gelombang baru yang dibentuk jika ada dua gelombang berjalandengan frekuensi dan amplitudo sama tetapi arah berbeda bergabung menjadi satu dengan amplitudo yang berubah-ubah. Contohnya pada gelombang tali. Tali dapat digetarkan disalah satu ujungnya dan ujung lain diletakkan pada pemantul. Berdasarkan ujung pemantulnya dapat dibagi dua yaitu ujung terikat dan ujung bebas.
Gelombang Stasioner Dengan Ujung Terikat
Gelombang Stasioner Dengan Ujung Bebas
Hukum Melde
Hukum ini mempelajari tentang besaran-besaran yang mempengaruhi cepat rambat gelombang transversal pada tali. Dari percobaan melde diperoleh rumusan:
keterangan :
v = cepat rambatgelombang
F = gaya tegangan tali
μ = massa persatuan panjang
Sifat-Sifat Gelombang
- Dapat mengalami pemantulan
- Dapat menglami pembiasan
- Dapat mengalami interferensi (perpaduan dua gelombang atau lebih)
- Dapat mengalami difraksi (melentur melalui lubang kecil)
Contoh Soal Gelombang Pembahasan & Jawaban Kelas XI/11

dengan x dan y dalam meter serta t dalam sekon. Pernyataan yang benar untuk gelombang tersebut adalah …
PEMBAHASAN :
Berikut persamaan gelombang
Y = 0,3 cos (2t – x + π/6)
Jika dibandingkan persamaan umum gelombang adalah sebagai berikut.
Y = A cos (ωt – kx + θ0)
Dari kedua persamaan itu diperoleh:
- ω = 2 rad/s
2πf = 2
f = 1/π Hz
periode T = 1/f
periode T = π detik

Kecepatan awal di peroleh pada situasi t = 0 dan x = 0
v = -ωA sin θ
v = -2. 0,3 sin π/6
v = - 0,6 sin 30
v = - 0,3 m/s
Kecepatan ke arah bawah (ada tanda negatif)
- Laju perubahan simpangan adalah besar dari kecepatan
v = ωA sin (ωt-kx+π/6)
v = 0,6 sin (2t-x+π/6)
Jawaban A
- Gelombang air memiliki panjang 200 cm
- Pada saat t = 1 detik, balok B berada di titik setimbang dan sedang bergerak turun.
- Frekuensi gelombang adalah 0,25 Hz.
- Amplitudi gelombang adalah 75 cm.
- Balok A akan kembali berada di puncak pada saat t = 4,5 detik.
PEMBAHASAN :
Perhatikan gambar gelombang berikut ini berdasarkan informasi dari soal di atas

Dari gambar di atas diperoleh data:
- jarak antara A dan B adalah 3/2 λ = 150 cm dengan demikian λ = 100 cm
- pada saat t = 1 detik balok A berada di titik setimbang dan sedang bergerak turun, Sedangkan balok B berada di titik setimbang dan sedang bergerak naik
- frekuensi = n/t =
= 0,25 Hz - Balok A akan kembali berada di puncak pada saat t = 4 detik
Jawaban C
- Simpangan maksimum kedua benda berbeda
- Kecepatan maksimum kedua benda sama
- Konstanta pegas kedua osilasi berbeda
- Energi potensial maksimum kedua benda berbeda.
PEMBAHASAN :
Informasi dari soal:
M1 = M2
f1 ≠ f2
Em1 = Em2
- Pernyataan Ymax1 ≠ Ymax2
Simpangan maksimum, Ymax disebut amplitudo, A
Dari persamaan di atas
Em1 = Em2
½ K1A12 = ½ K2A22
Jika K = mω2 = m4π2f2
½ m4π2f12A12 = ½ m4π2f2A22
f12A12 = f22A22
f1A1 = f2A2
(Pernyataan 1 benar) - Pernyataan amax1 = amax2
amax1 = ω1 A1
amax1 = ω1
amax1 = 2π f1
amax1 = 2π f2 A2
amax1 = ω2 A2
amax1 = amax2 (Pernyataan 2 benar) - K1 ≠ K2
K = mω2 = m4π2f2
K ̴ f2
Karena f1 ≠ f2
Maka K1 ≠ K2 (Pernyataan 3 benar) - Epmaks1 ≠ Epmaks2
Epmaks = Em
Karena Em1 = Em2
Maka Epmaks1 = Epmaks2 (Pernyataan 4 salah)
Jawaban A
(1) tidak dapat merambat dalam ruang hampa
(2) merambat dengan lurus dalam medium yang berbeda
(3) mengalami refleksi
(4) mengalami difraksi
(5) mengalami interferensi
Dari sifat gelombang tersebut, sifat yang sesuai dengan ciri-ciri gelombang cahaya adalah…
- (1) dan (2) saja
- (3) dan (4) saja
- (2), (3), dan (4)
- (3),(4) dan (5)
- (1),(3),(4),dan (5)
PEMBAHASAN :
Ciri-ciri gelombang cahaya diantaranya:
- Cahaya dapat merambat meskipun dalam ruang hampa
- Cahaya mengalami pembiasan ketika merambat medium yang memiliki perbedaan kerapatannya
- Cahaya mengalami refleksi
- Cahaya mengalami difraksi
- Cahaya mengalami interferensi
Jawaban : D
- 1/4
- 1/2
- 1
- 3/2
- 2
PEMBAHASAN :
Dari titik A ke titik C terdapat dua bukit dan dua lembah. Maka dari titik A ke titik C dikatakan sebagai dua gelombang. Jika dua gelombang dapat dikatakan sebagai dua lamda (panjang gelombang).
Jawaban : E
- mengenal unsur-unsur suatu bahan
- mencari jejak sebuah benda
- memasak makanan dengan cepat
- membunuh sel kanker
- mensterilkan peralatan kedokteran
PEMBAHASAN :
Gelombang RADAR dapat di gunakan untuk mencari jejak suatu benda. Selain itu, gelombang RADAR juga dapat di gunakan untuk mendeteksi kecepatan objek dan dimanfaatkan satelit dalam pembuatan peta.
Jawaban : B
- 3 sekon
- 4 sekon
- 8 sekon
- 33 sekon
- 50 sekon
- 4 m/s dan 4 m
- 4 m/s dan 2 m
- 2 m/s dan 4 m
- 2 m/s dan 2 m
- 2 m/s dan 1 m
PEMBAHASAN :
1 λ = jarak dua bukit gelombang yang berdekatan, maka:
1λ = 2 meter
λ = 2 meter
Diketahui waktu yang d butuhkan oleh gabus untuk sampai di puncak bukit yaitu satu detik, maka periodenya (T) adalah 2 sekon. Dari data tersebut dapat ditentukan besarnya kecepatan rambat gelombang
maka v dan λ berturut-turut adalah 2 m/s dan 2 meter
Jawaban : D
- 0,5 m dan 0,5 m/s
- 0,5 m dan 1 m/s
- 0,5 m dan 2 m/s
- 1 m dan 0,5 m/s
- 2 m dan 1 m/s
- y = 0,5 sin 2π (t - 0,5x)
- y = 0,5 sin π(t - 0,5x)
- y = 0,5 sinπ (t - x)
- y = 0,5 sin 2π (t - x/4 )
- y = 0,5 sin 2π (t - x/6)
- 16 m/s
- 32 m/s
- 48 m/s
- 64 m/s
- 72 m/s
- 15 m.s-1
- 20 m.s-1
- 30 m.s-1
- 45 m.s-1
- 60 m.s-1
(1) panjang gelombangnya bernilai 5 cm
(2) frekuensi gelombangnya bernilai 12 Hz
(3) gelombang menjalar dengan kecepatan 60 cm/s
(4) simpangan gelombang 0,1 cm pada posisi x = 35/12 cm dan saat t = 1/24 sekon
(1) Infra merah
(2) Cahaya tampak
(3) Sinar X
(4) Gelombang Tv
Urutan dari energi paling besar sampai energi paling kecil adalah…
- (1)-(2)-(3)-(4)
- (2)-(4)-(3)-(1)
- (3)-(2)-(1)-(4)
- (3)-(1)-(4)-(2)
- (4)-(1)-(3)-(2)
PEMBAHASAN :
Urutan gelombang elektromagnetik berdasarkan frekuensinya dari terkecil hingga terbesar adalah gelombang radio, gelombang tv, gelombang RADAR, sinar infra merah, cahaya tampak, sinar UV, sinar X dan sinar gamma. Maka energi paling besar hingga paling kecil adalah sinar X (3), cahaya tampak (2), Infra merah (1), dan Gelombang TV (4)
Jawaban : D
y1 = A cos(kr1 – ωt)
y2 = A cos(kr2 – ωt)
Dengan kelajuan 350 m/s , frekuensi f = 700 Hz maka….
- Panjang gelombang bunyi tersebut 0,5 m
- Interferensi konstruktif terjadi bila r2 – r1 = 1,5 meter
- Interferensi minimum terjadi bila r2 – r1 = 1,25 meter.
- Intensitas maksimum P ɑ 2A2
(1) panjang gelombangnya 20 m
(2) frekuensi gelombangnya 1Hz
(3) cepat rambat gelombangnya 20m/s
(4) amplitudo gelombangnya 3 meter
Pernyataan yang benar adalah…
- (1),(2),dan (3)
- (1) dan (3) saja
- (2) dan (4) saja
- (4) saja
- (1) (2) (3) dan (4)
PEMBAHASAN :
Diketahui persamaaan
y = 0,03 sinπ (2t-0,2x)
y = 0,03 sin(2πt-0,2πx)
Diperoleh data
A = 0,03 meter
Menentukan frekuensi
ω = 2π
2πf = 2π
f = 1 Hz
Menentukan panjang gelombang
k = 0,2π
2π/λ = 0,2 π
λ = 20 m
Maka besarnya cepat rambat gelombang adalah.
v = λf = (20)(1) = 20 m/s
Jawaban : A
- 8
- 12
- 10
- 4
- 6
PEMBAHASAN :
Diketahui:
v = 10 m/s
f = 6 Hz
A = 4 cm
SXY = 20 m
Penyelesaian 1:
Menghitung waktu yang dibutuhkan gelombang untuk merambat dari X ke Y, sebagai berikut:
Sxy = v x t
20 m = 10 m/s x t
t = 2 s
Penyelesaian 2:
Menentukan banyak gelombang (n) yang terjadi sepanjang XY, sebagai berikut:
![]()
Maka n = f x t
n = 6 Hz x 2 s
n = 12
Jawaban : B
- 2 s
- 1,5 s
- 3 s
- 4 s
- 0,5 s
PEMBAHASAN :
Diketahui:
y = 20 sin π(0,5t – 0,2x) = 20 sin (0,5πt – 0,2πx)
kecepatan sudut = ω = 0,6 π rad/s
Bentuk umum persamaan gelombang berjalan, sebagai berikut:
y = A sin (wt – kx)
![]()
y = 20 sin (0,5πt – 0,2πx)
Maka periode (T) gelombang dapat dihitung sebagai berikut:

Jawaban : D
- 0 cm
- 3 cm
- 1 cm
- 0,5 cm
cm
PEMBAHASAN :
Diketahui:
Persamaan gelombang berjalan = y = 0,05 sin π (6t – x)
Jarak titik pengamatan terhadap titik asal = x = 6 cm
Selang waktu titik bergetar = t = 1 detik
x,y dalam cm dan t dalam detik
Maka besar simpangan dapat dihitung sebagai berikut:
y = 0,05 sin π (6t – x)
y = 0,05 sin π (6 . 1 s – 6 cm)
y = 0,05 sin π (0)
y = 0,05 sin 0
y = 0,05 . 0
y = 0
Jawaban : A
- 15 m/s
- 18 m/s
- 20 m/s
- 23 m/s
- 24 m/s
PEMBAHASAN :
Bentuk umum persamaan gelombang stasioner yaitu: y = 2 A sin kx cos ωt
Persamaan gelombang stasioner y = 0,2 sin (0,5πx) cos π(12t – 6) meter, maka diperoleh:
2A = 0,2
A = 0,1 meter
k = 0,5π
ω = 12π
Maka kelajuan gelombang pantulnya dapat dihitung sebagai berikut:

Jawaban : E
- 28,3 cm
- 31,25 cm
- 35,1 cm
- 28,4 cm
- 30,5 cm
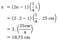
PEMBAHASAN :
Diketahui:
Gelombang stasioner pada tali dengan ujung terikat
l = 50 cm
f = 1/5 Hz = 0,2 Hz
A = 18 cm
V = 5 cm/s
n = 2
Menentukan panjang gelombang sebagai berikut:

Menentukan letak perut ke-2 gelombang dari ujung terikat sebagai berikut:

Maka Δx = l – x
Δx = 50 cm – 18,75 cm
Δx = 31,25 cm
Jawaban : B
- 8 Hz
- 10 Hz
- 14 Hz
- 12 Hz
- 6 Hz
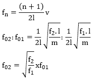
PEMBAHASAN :
Diketahui:
Dua buah kawat identik:
m1 = m2
l1 = l2
f0 = 600 Hz
f2 = f1 + 5%f1 = f1 + 0,05f1 = 1,05f1
Menentukan frekuensi nada pada dawai kedua setelah tegangannya ditambah sebagai berikut:
Bentuk umum rumus frekuensi nada:

Maka frekuensi layangan yang terjadi dapat dihitung sebagai berikut:
flayangan = f02 – f01

= (1,02 x 600 Hz) – 600 Hz
= 612 Hz – 600 Hz
= 12 Hz
Jawaban : D
- 0,4 watt/m2
- 0,02 watt/m2
- 1,5 watt/m2
- 0,5 watt/m2
- 0,01 watt/m2
PEMBAHASAN :
Diketahui:
P = 100 watt
r = 20 m
Maka intensitas radiasi gelombang bunyi dapat dihitung sebagai berikut:

Jawaban : A
- 20 dB
- 30 dB
- 40 dB
- 50 dB
- 60 dB
PEMBAHASAN :
r1 = 5 meter
TI1 = 60 dB
r2 = 50 m
Maka TI2 dapat dihitung sebagai berikut:

Jawaban : C
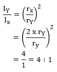
- 1 : 3
- 2 : 3
- 1 : 2
- 1 : 4
- 4 : 1
PEMBAHASAN :
Jika rx = 2 x rY , maka perbandingan IY dan IX dapat dihitung sebagai berikut:

Jawaban : E
- 355,5 Hz
- 264 Hz
- 333,3 Hz
- 444,4 Hz
- 475 Hz
PEMBAHASAN :
Diketahui:
Vs = kecepatan gerak sumber bunyi = 30 m/s
Vp = kecepatan gerak pendengar = 0 m/s (diam)
Vu = kecepatan gelombang bunyi di udara = 240 m/s
fs = frekuensi sumber bunyi = 500 Hz
Maka frekuensi yang terdengar oleh orang di pinggir jalan dapat dihitung sebagai berikut:

Catatan:
vp = 0 m/s dan vs = menjauhi pendengar (orang di pinggir jalan) sehingga dapat dirumuskan menjadi:

Jawaban : C
- Tali
- Slinki
- Air
- Udara
PEMBAHASAN :
Gelombang adalah getaran yang merambat melalui medium. Gelombang yang dimaksud yaitu gelombang mekanis, dimana partikelnya tidak ikut merambat, tetapi rambatan yang terjadi adalah rambatan energi. Medium gelombang dapat berupa zat padat, cair, dan gas. Misalnya tali, slinki, air, dan udara. Benar semua maka jawabannya adalah E
Jawaban : E
- Longitudinal
- Transversal
- Diam
- Berdiri
- Pegas
PEMBAHASAN :
Banyak jenis gelombang, diantaranya:
- Longitudinal, contohnya: gelombang pegas dan gelombang bunyi
- Transversal, contohnya: gelombang tali, gelombang permukaan air, dan gelombang cahaya
- Diam/ berdiri, contohnya: senar gitar yang dipetik
Jawaban : B
- Amplitudo gelombang
- Puncak gelombang
- Dasar gelombang
- Periode gelombang
- Panjang gelombang
PEMBAHASAN :
Besaran dari gelombang terdiri atas:
- Amplitudo gelombang: simpangan maksimum dari suatu gelombang
- Puncak gelombang: titik tertinggi dari gelombang
- Dasar gelombang: titik terendah dari gelombang
- Periode gelombang: waktu yang dibutuhan untuk menem[uh satu panjang gelombang
- Panjang gelombang: jarak antara dua puncak atau dua dasar gelombang yang berdekatan
Jawaban : A
- 5 cm
- 10 cm
- 20 cm
- 30 cm
- 40 cm
PEMBAHASAN :
Maka panjang gelombang dapat dihitung sebagai berikut:
Jawaban : C
- 4 m/s
- 6 m/s
- 8 m/s
- 10 m/s
- 12 m/s
PEMBAHASAN :
Gelombang berjalan dapat dirumuskan secara umum, sebagai berikut:
y = A sin (ωt ± kx),
A = 0,02
ω = 6π
k = π
Maka:
2πf = 6π
f = 3 Hz
v = λ . f
= 2 . 3
= 6 m/s
Jawaban : B
- 0,1 p2 m/s2
- 0,6 p2 m/s2
- 0,8 p2 m/s2
- 0,9 p2 m/s2
- 0,5 p2 m/s2
PEMBAHASAN :
Jawaban : D
















