DAFTAR ISI
Rangkuman Materi Substansi Genetik Kelas 12
Asam nukleat
Mahluk hidup melalui proses reproduksi dapat melestarikan spesiesnya sekaligus mewariskan sifat dan menjaga sifat-sifat genetiknya. Materi genetik sel terdapat pada asam nukleat yang terdiri dari DNA dan RNA.
DNA (Asam Deoksiribonukleat)
DNA tersusun atas polimer nukleotida. Nukleotida terdiri atas fosfat, gula pentosa, dan basa nitrogen.
Ada tiga hipotesis yang menjelaskan terjadinya replikasi DNA, yaitu
- Teori hipotesis konservatif: DNA induk tidak mengalami perubahan, urutan basa nitrogen disalin sehingga membentuk dua rantai DNA yang sama persis.
- Teori hipotesis disfersif: DNA induk yang terpotong merangkai diri menjadi dua buah DNA baru yang urutan basa nitrogennya sama persis dengan basa nitrogen awal.
- Teori hipotesis semikonservatif: pada saat replikasi kedua rantai polinukleotida akan memisahkan diri sehingga basa nitrogen tidak berpasang-pasangan. Nukleotida bebas akan melengkapi rantai DNA induk yang terpisah.
RNA (Asam Ribonukleat)
RNA dapat ditemukan pada tubuh manusia dalam nukleous dan sitoplasma.
Persamaan dan perbedaan DNA dan RNA
Persamaan DNA dan RNA
- DNA dan RNA termasuk ke dalam polimer asam nukleat.
- DNA dan RNA merupakan rantai polimer dengan residu bergantian gula pentosa dan asam fosfat dengan basa nitrogen.
- DNA dan RNA memiliki basa nitrogen yang mampu membentuk ikatan hidrogen.
- DNA dan RNA keduanya terlibat dalam sintesis protein baik langsung maupun tidak langsung.
Perbedaan DNA dan RNA
DNA:
- Terdapat pada nukleus, mitokondria, dan kloroplas
- Strukturnya double helix, rantai panjang
- Tersusun dari gula: deoksiribosa
Tersusun dari basa nitrogen:
- Purin: guanine, adenine
- Pirimidin: sitosin, timin
- Berperan dalam informasi genetik dan sintesis protein
- Kadarnya tetap, tidak dipengaruhi aktivitas sintesis protein
RNA:
- Terdapat pada nukleus, sitoplasma, dan ribosom
- Strukturnya single helix, rantai pendek
- Tersusun dari gula: ribosa
Tersusun dari basa nitrogen:
- Purin: guanine, adenine
- Pirimidin: sitosin, urasil
- Berperan dalam sintesis protein
- Kadarnya bisa berubah sesuai aktivitas sintesis protein
Gen
- Materi genetik yang terdiri atas DNA
- Letaknya di dalam lokus kromosom
- Pembawa sifat keturunan atau pola hereditas dari organisme
- Dapat bersifat dominan dan resesif
- Alel adalah pasangan gen dalam kromosom homolog
Kromosom
- Letak kromosom berada dalam nukleus
- Jumlah kromosom manusia ada 23 pasang atau 46 buah
- Jenis-jenis kromosom berdasarkan fungsinya:
- Kromosom tubuh (autosom): 22 pasang kromosom autosom
- Kromosom kelamin (gonosom): 1 pasang kromosom seks
- Kromosom berperan untuk menjaga proses duplikasi DNA terjadi dengan benar
- Jenis-jenis kromosom berdasarkan letak sentromernya:
- Akrosentrik (kromososm bentuk J): letak sentromernya mendekati ujung sehingga salah satu lengannya sangat pendek.
- Metasentrik (kromososm bentuk V): letak sentromer berada di tengah sehingga kedua lengan sama panjang.
- Submetasentrik: letak sentromernya mendekati tengah sehingga panjang kedua lengan tidak sama panjang.
- Telosentrik (ktomosom bentuk I): letak sentromernya berada di ujung kromosom sehingga hanya mempunyai satu lengan.
Sintesis protein
Sintesis protein adalah proses mengubah asam amino dalam linear menjadi protein dalam tubuh. Sintesis protein terjadi di dalam ribosom dengan melibatkan DNA dan RNA. Proses sintesis protein terbagi menjadi tiga langkah, yaitu:
- Transkripsi: proses pembentukkan RNA dari salah satu pita cetakan DNA dengqn bantuan enzim RNA polimerase yang akan menghasilkan 3 jenis RNA yaitu mRNA, tRNA, dan rRNA. Transkripsi terjadi di dalam nukleus dan terbagi menjadi 3 tahap, yaitu
- Inisisasi: RNA polimerase menempel pada untaian DNA untuk memulai transkripsi.
- Elongasi: RNA polimerase bergerak sepanjang DNA cetakan.
- Terminasi: transkripsi RNA telah selesai, RNA polimerase melepaskan hasil transkripsi RNA.
- Tranlasi: proses urutan nukleotida dalam mRNA yang diterjemahkan ke dalam urutan asam amino dari rantai polipeptida. Tahapan proses tranlasi yaitu:
- Proses tranlasi terjadi di sub unit ribosom.
- mRNA memberikan sinyal ke tRNA untuk membawa asam amino yang sesuai dengan kode genetic mRNA.
- mRNA ditranslasikan oleh tRNA dengan di awali dari kodon start (AUG), kemudian mengubah kodon mRNA menjadi beberapa asam amino.
- Proses translasi berakhir di kodon stop (UAA, UAG, ata UGA)
- Asam amino-asam amino yang dihasilkan akan membentuk polipeptida sesuai dengan yang dibutuhkan.
- Pelipatan protein
Pelipatan protein diperlukan untuk mengaktifkan polipeptida. Polipeptida harus dimodifikasi terlebih dahulu sebelum dapat dipergunakan.
Kode genetik
Jumlah dan urutan asam amino yang terbentuk dapat diketahui dengan cara pengkodean nukleotida yang disebut kode genetik. Kode genetik merupakan basa nitrogen yang dapat menerjemahkan macam-macam nukleotida dalam tubuh.
Contoh Soal & Pembahasan Substansi Genetik UN Biologi
- 1, 2, 3
- 2, 3, 4
- 2, 6, 7
- 3, 4, 5
- 4, 5, 6
PEMBAHASAN :
DNA terdiri dari polinukleotida (polimer nukleotida). Pada satu nukleotida terdiri dari Fosfat yaitu nomor 3, gula pentosa yaitu no. 4 dan basa nitrogen yaitu no 5. Maka jawaban yang tepat adalah D
Jawaban D
- Mengandung gula deoksiribosa
- Mengandung gula ribose
- Mengandung basa adenine, guanine, sitosin dan urasil
- Mengandung basa adenine, guanine, sitosin, dan timin
- Memiliki konfigurasi double helix
Ciri-ciri struktur DNA adalah….
- 1-2-5
- 1-3-5
- 1-4-5
- 2-3-5
- 3-4-5
PEMBAHASAN :
DNA merupakan penyusun gen yang berada di lokus kromosom. Adapun struktur dari DNA yaitu:
- Memiliki fungsi pembawa sifat keturunan
- Berperan dalam sintesis protein
- Memiliki jumlah yang tetap dan tidak dipengaruhi aktivitas sintesis protein
- Memiliki basa pirimidin yaitu sitosin dan timin
- Memiliki basa purin yaitu guanine dan adenine
- Mengandung Posfat
- Berada di nucleus, mitokondria dan kloroplas
- Mengandung gula deoksiribosa
- Terdiri atas rantai panjang dan konfigurasinya double helix
Jawaban yang sesuai adalah C
Jawaban C
- timin, sitosin, sitosin, timin
- timin, guanine, guanine, dan timin
- guanine, sitosin, sitosin, dan guanine
- sitosin, sitosine, timin, dan timin
- timin, sitosin, guanin, dan timin
PEMBAHASAN :
Basa nitrogen DNA terdiri dari:
- Purin, terdiri dari guanine dan adenine
- Pirimidin, terdiri dari sitosin dan timin
Konfigurasi DNA basa tersusun berpasangan dengan aturan:
- timin (T) berpasangan dengan adenine (A)
- sitosin (S) berpasangan dengan guanine (G)
Maka:
- No. 1 : timin
- No. 2 : sitosin
- No. 3 : sitosin
- No. 4 : timin
Jawaban A
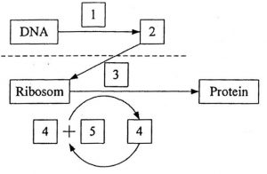
- translatasi, pencetakan RNAd oleh DNA
- transkripsi, duplikasi DNA
- transkripsi, pencetakan RNAd oleh DNA
- translasi, penerjemahan RNAd oleh RNAr
- replikasi, duplikasi DNA
PEMBAHASAN :
Sintesis protein diagi menjadi dua tahap:
- Transkripsi : proses pencetakan mRNA dari DNA terjadi di nukleus dengan bantuan enzim polimerase
- Translasi : proses pembacaan kode genetik mRNA menjadi asam amino. Terjadi di ribosom
Pada diagram di soal prosesnya dapat dijelaskan:
- No. 1 proses transkripsi
- No. 2 mRNA yang merupakan hasil dari transkripi
- No. 3 proses translasi
- No. 4 tRNA
- No. 5 asam amino yang dibawa oleh tRNA
Maka jawaban yang tepat adalah C
Jawaban C
PEMBAHASAN :
Perbedaan DNA dan RNA sebagai berikut:

Maka jawaban yang sesuai adalah E
Jawaban E
- DNA membentuk RNA duta di dalam inti sel
- Asam-asam amino diangkut oleh tRNA dari sitoplasma
- RNA duta keluar dari inti sel
- Terbentuk polipeptida
- Asam-asam amino terangkai di dalam ribosom
Urutan tahapan sintesis protein adalah….
- 1-2-3-5-4
- 1-2-3-4-5
- 1-3-2-5-4
- 2-3-1-5-4
- 2-4-5-1-3
PEMBAHASAN :
Urutan yang benar proses sintesis protein diantaranya:
- DNA membentuk RNA duta di dalam inti sel
- RNA duta keluar dari inti sel
- Asam amino diangkut oleh tRNA dari sitoplasma
- Asam-asam amino terangkai di dalam ribosom
- Terbentuk polipeptida
Susunan yang benar adalah jawaban C
Jawaban C
- Double helix
- Terletak dalam nukleoplasma dan sitoplasma
- Mempunyai urasil
- Berfungsi sebagai template dalam sintesis protein
- Mempunyai gula ribose
Yang merupakan ciri dari RNA adalah….
- 1, 2, dan 4
- 1, 2, dan 5
- 2, 3, dan 5
- 2, 4, dan 5
- 3, 4, dan 5
PEMBAHASAN :
Ciri-ciri RNA:
- Mengandung gula ribosa
- Mengandung fosfat
- Terdiri dari rantai pendek dan konfigurasi single helix
- Mengandung basa purin : guanine dan adenine
- Mengandung basa pirimidin : sitosin dan urasil
- Kadarnya berubah-ubah dipengaruhi oleh aktivitas sintesis protein
- Letaknya di nukleus, sitoplasma, ribosom.
Maka yang termasuk ciri RNA adalah 2, 3 dan 5
Jawaban C
- protein dan DNA
- nukleosom dan solenoid
- gugusan gula dan basa nitrogen
- DNA dan RNA
- basa nitrogen dan asam fosfat
PEMBAHASAN :
Kromosom terdiri atas:
- DNA yang merupakan 35% dari keseluruhan kromosom
- RNA 5% dari keseluruhan kromosom
- Protein sebanyak 60 % tersusun dari histon (basa) dan nonhiston (asam)
Maka komponen terbanyak adalah protein dan DNA
Jawaban A
- RNA membentuk RNA duta
- DNA membentuk RNA duta
- RNA duta keluar inti dengan membawa kode genetik
- RNA transfer mengangkut asam amino
- RNA transfer melepaskan diri dari RNA duta
PEMBAHASAN :
Tahap dalam sintesis protein :
- Tahap pertama proses transkripsi, proses pencetakan RNA duta dari DNA dengan bantuan enzim polimerase. Tejadi di nukleus
- Tahap kedua proses translasi, proses pembacaan kode genetik RNA duta menjadi asam amino. Terjadi di ribosom.
Maka pilihan yang tepat adalah B
Jawaban B
Tahapan sintesis protein:
- Penempelan RNA polimerase pada molekul DNA
- Pergerakan RNA polimerase sehingga dihasilkan rantai RNA
- Pemisahan rantai RNA dari template
- Penambahan senyawa kimia sehingga dihasilkan mRNA lengkap
Tahapan selanjutnya dari sintesis protein tersebut (tahap ke 5) adalah….
- pembuatan rangkaian asam amino yang dibawa oleh tRNA
- mRNA selesai dicetak meninggalkan nukleus menuju sitoplasma
- pengenalan kodon AUG oleh dub unit ribosom kecil
- pemasangan sub unit ribosom besar
- pengenalan kodon AUG oleh ribosom
PEMBAHASAN :
Tahapan dalam sintesis protein terbagi dua yaitu tahap pertama transkripsi dan tahap kedua translasi. Pada tahap transkripsi meliputi:
- menempelnya RNA polimerase pada molekul DNA
- bergeraknya RNA polimerase sehingga menghasilkan rantai RNA
- terpisahnya rantai RNA dari template
- ditambahkannya senyawa kimia sehingga diperoleh mRNA secara lengkap.
- mRNA meninggalkan nukleus menuju sitoplasma untuk melakukan proses translasi yaitu membaca kode genetik mRNA oleh tRNA menjadi asam amino
Maka langkah kelima adalah pilihan B
Jawaban B
- RNA membentuk RNA duta
- DNA membentuk RNA duta
- RNA duta keluar inti dengan membawa kode genetik
- RNA transfer mengangkut asam amino
- RNA transfer melepaskan diri dari RNA duta
PEMBAHASAN :
Tahap dalam sintesis protein :
- Tahap pertama proses transkripsi, proses DNA membentuk RNA duta dengan bantuan enzim polimerase. Tejadi di nukleus
- Tahap kedua proses translasi, proses pembacaan kode genetik RNA duta menjadi asam amino. Terjadi di ribosom.
Maka jawaban yang sesuai adalah B
Jawaban B
- Mewariskan informasi genetik dari generasi ke generasi
- Berkaitan dengan sintesis protein
- Dapat melakukan replikasi karena adanya sifat autokatalis
- Pola cetakan pembentuk polinukleotida atau protein
Ciri-ciri yang hanya dimiliki oleh DNA adalah….
- 1
- 3
- 4
- 1 dan 3
- 2 dan 3
PEMBAHASAN :
Ciri yang dimiliki DNA dan yang membedakan dari RNA adalah DNA memiliki kemampuan untuk melakukan replikasi karena adanya sifat autokatalis. Selain itu memiliki kemampuan mewariskan informasi genetik dari generasi ke generasi
Jawaban D
PEMBAHASAN :
Tahap dalam sintesis protein :
- Tahap pertama proses transkripsi, proses DNA membentuk RNA duta dengan bantuan enzim polimerase. Tejadi di nukleus
- Tahap kedua proses translasi, proses pembacaan kode genetik RNA duta menjadi asam amino. Terjadi di ribosom.
Maka pilihan yang sesuai adalah C
Jawaban C
PEMBAHASAN :
Empat macam letak sentromer:
- Telesentrik, sentromer berada di ujung kromosom, yaitu pilihan E
- Metasentrik, sentromer terletak di tengah kromosom, sehingga membagi kromatid dengan panjang yang sama, yaitu pilihan D
- Akrosentrik, sentromer terletak di dekat ujung, yaitu pilihan C
- Submetasentrik, sentromer terletak tidak terlalu tengah. sehingga membagi kromatid dengan panjang tidak sama, aitu pilihan A dan B
Maka kromosom metasentrik adalah pilihan D
Jawaban D
- serin - valin - glutamine - alanin - prolin
- valin - alanin - valin - serin - prolin
- glutamine - alanin - valin - serin - prolin
- valin - glutamine - alanin - serin - prolin
- valin - glutamine - alanin - prolin - serin
PEMBAHASAN :
Diketahui di soal DNA yang melakukan transkripsi memiliki kode:
SAS SST SGG GGT GTA
Maka mRNA nya memiliki kode:
GUG GGA GSS SSA SAU
mewakili asam amino:
valin - glutamine - alanin - prolin - serin
Jawaban E
Contoh Soal & Pembahasan Substansi Genetik SBMPTN Biologi
- Inti saja
- Kloroplas saja
- Inti dan kloroplas
- Kloroplas dan mitokondria
- Inti, kloroplas, dan mitokondria
PEMBAHASAN :
Organ-organ dalam sel tumbuhan berpembuluh, diantaranya:
- Inti: DNA tersebar di dalam inti/ nukleus berupa kromatin yang berkondensasi menjadi kromosom
- Kloroplas: kloroplas memiliki membran yang disebut stroma untuk proses fotosintesis. Stroma memiliki kandungan DNA dan ribosom
- Mitokondria: di dalam mitokondria terdapat materi-materi genetik yaiu DNA (mtDNA), ribosom, ATP, ADP , fosfat an organik, dan ion-ion
DNA terkandung pada ketiga organel sel
Jawaban E
- 10 nukleosida
- 20 ikatan fosfat
- 10 pasang ikatan hidrogen
- 10 pasang nukleotida
PEMBAHASAN :
DNA tersusun atas polinukleotida panjang dan double helix (rantai ganda). Polinukleotidanya terdiri dari gugus fosfat, deoxyribosa, dan basa nitrogennya terdiri dari basa purin ( guanine dan adenine) dan basa pirimidin (sitosin dan timin). Apabila untaian DNA rantai ganda memiliki 10 pasangan basa, maka terdapat :
- 20 gugus fosfat
- 20 deoxyribosa (20 nukleotida atau 10 pasang nukleotida)
Nomor 2 dan 4 benar
Jawaban C
- Untaian ganda DNA yang sejajar dengan arah antiparalel
- Pasangan basa DNA yang tersusun atas dua nukleotida purin dan dua nukleotida pirimidin
- Untai ganda DNA yang terbentuk dengan urutan atom C dari 3’ ke 5’
- Untai ganda DNA yang mengikat histon
PEMBAHASAN :
Struktur kromosom diantaranya:
- Struktur dalam inti sel yang terbentuk dari DNA
- DNA kromosom berikatan dengan protein histon
- Ikatan DNA menghasilkan nukleosom untuk membentuk lilitan-lilitan
- Lilitan-lilitan nukleosom disusun menjadi kromatid (lengan kromosom)
Nomor 4 jawaban benar
Jawaban D
- Pelepasan ikatan hidrogen antar purin dan pirimidin
- Gugus fosfat berikatan dengan atom C nomor 3
- Basa nitrogen ditambahkan ke gugus fosfat
- Arah pertumbuhan molekul 5’ → 3’
PEMBAHASAN :
Ciri-ciri sintesis polinukleotida sebagai berikut:
- Sintesis polinukleotida terjadi ketika DNA melakukan replikasi
- Replikasi DNA dibantu oleh DNA polimerase
- DNA polimerase mensintesis DNA baru dengan arah 5’ → 3’
- Pertumbuhan dilakukan dari ujung 5 ke ujung 3
- Untaian DNA baru dilakukan pada 3’

Nomor 2 dan 4 benar
Jawaban C
SEBAB
mRNA membawa kode genetik dari inti sel menuju sitoplasma
PEMBAHASAN :
mRNA berfungsi membawa kode-kode genetik DNA dari inti sel/nukleus menuju ke ribosom yang berada di sitoplasma. Kode-kode genetik tersebut terbentuk pada saat proses transkripsi oleh RNA polimerase.
Pernyataan benar, alasan benar, ada hubungan
Jawaban A
- 5’-AAAAACGUCCCCUAA-3’
- 5’-AAAAUGAGUAAGUAU-3’
- 5’-AAAATTACTCATTTT-3’
- 3’-AAAAUGAGUAAGUAU-5’
- 3’-AAAATGAGTAAGTAT-5’
PEMBAHASAN :
DNA sense yang memiliki kode DNA 5’-ATACTTACTCATTTT-3’ akan membentuk RNAd dengan kode D. 3’-AAAAUGAGUAAGUAU-5’. Hal ini karena proses transkripsi DNA sense akan dicetak oleh enzim RNA polimerase menjadi mRNA/RNAd. Pertumbuhan RNAd merupakan antiparalel dari pertumbuhan DNA sense.
Jawaban C
- Valin-alanin-glutamine-serin-prolin
- Serin-valin-glutamine-alanin-prolin
- Glutamine-alanin-valin-serin-valin
- Valin-glutamine-alanin-serin-prolin
- Valin-glutamine-alanin-prolin-serin
PEMBAHASAN :
Pembentukkan asam amino untuk proses sintesis protein menyesuaikan dengan kode genetik dari mRNA. Pada tiap-tiap kodon mRNA selalu mengkodekan asam amino.
Misalkan DNA yang melakukan transkripsi (DNA sense) mempunyai kode SAS, SST, SGG, GGT, GTA maka mRNA mempunyai kode GUG, GGA, GSS, SSA, SAU →valin, glutamine, alanin, prolin, serin.
Jawaban E
SEBAB
Pada proses translasi tRNA membawa asam amino yang sesuai dengan antikodon pada mRNA.
PEMBAHASAN :
Pembentukkan asam amino untuk proses sintesis protein menyesuaikan dengan kode genetik dari mRNA. Pada tiap-tiap kodon mRNA selalu mengkodekan asam amino, kecuali kodon-kodon stop (UAA, UAG, UGA). Kodon terdiri dari 3 basa triplet atau tiga basa nitrogen atau disebut juga triplet nukleotida
Basa tRNA disebut antikodon, molekul tRNA berfungsi membawa asam amino yang akan mentranslasi kodon pada mRNA untyk berpasangan dengan kodon mRNA.
Pernyataan salah, alasan salah.
Jawaban E
- Nitrogen
- Peptida
- Fosfat
- Karbon
- Hidrogen
PEMBAHASAN :
DNA yang dipotong oleh enzim retriksi, maka bagian yang terputus adalah bagian ikatannya. DNA tersusun atas polinukleotida yang saling berpasangan dan dihubungkan melalui ikatan fosfat. Hasil pemotongannya ada yang lancip dan ada yang tumpul.
Jawaban C
Jika komposisi basa guanine pada E. Coli 20%, komposisi basa timin adalah …
- 80%
- 60%
- 40%
- 30%
- 20%
PEMBAHASAN :br>Diketahui:
Persentase basa guanine = 20%
Guanine berpasangan dengan sitosin, persentase sitosin = 20%
Adenine berpasangan dengan timin
Maka:
Jumlah basa guanine dan sitosin = 20% + 20% = 40%
Jumlah basa adenine dan timin = 100% - 40% = 60%
Jadi, jumlah basa adenine dan basa timin dapat dihitung sebagai berikut:
60% : 2 = 30%
Jumlah persentase masing-masing basa yaitu 30%
Jawaban D
- Satu macam
- Dua macam
- Tiga macam
- Empat macam
- Lima macam
PEMBAHASAN :
Pembentukkan asam amino untuk proses sintesis protein menyesuaikan dengan kode genetik dari mRNA. Pada tiap-tiap kodon mRNA selalu mengkodekan asam amino, kecuali kodon-kodon stop (UAA, UAG, UGA).
Maka, pada soal di atas protein/polipeptida yang terbentuk adalah metionin (AUG), alanin (GCU), arginin (AGG), dan leusin (CUA) dengan satu kodon stop (UAA). Polipetida selanjutnya metionin (AUG), arginin (CGA), serin (UCC), dan aspartat (GAU) dengan satu kodon stop (UGA).
Jawaban D
SEBAB
Tiap kodon terdiri atas tiga basa nitrogen yang menentukan macam asam amino.
PEMBAHASAN :
Pembentukkan asam amino untuk proses sintesis protein menyesuaikan dengan kode genetik dari mRNA. Pada tiap-tiap kodon mRNA selalu mengkodekan asam amino, kecuali kodon-kodon stop (UAA, UAG, UGA). Kodon terdiri dari 3 basa triplet atau tiga basa nitrogen atau disebut juga triplet nukleotida
Pernyataan salah, alasan benar
Jawaban C
- Jumlah adenine sama dengan jumlah timin
- Jumlah guanine sama dengan jumlah sitosin
- Jumlah purin sama dengan jumlah pirimidin
- Jumlah timin sama dengan jumlah guanine
PEMBAHASAN :br>Susunan DNA:
- Purin
- Guanine
- Adenine
- Pirimidin
- Sitosin
- Timin
Guanine berpasangan dengan sitosin dan adenine berpasangan dengan timin
Nomor 1, 2, dan 3 benar
Jawaban A
- RNA
- Nukleotida
- Protein
- Basa nitrogen
- Gula pentosa
PEMBAHASAN :
Istilah-istilah pada substansi genetika, diantaranya:
- RNA (ribonucleic acid): salah satu materi genetik yang tersusun atas nukleotida, sebagai pembawa dan penerjemah kode genetik untuk pembuatan protein
- Nukleotida: monomer penyusun RNA, DNA dan beberapa kofaktor
- Protein: gabungan dari beberapa asam amino (polipeptida) sebagai penyusun utama dari semua organel sel (organ dalam sel) dan penggandaan kromosom
- Basa nitrogen: molekul organik dengan atom nitrogen yang bersifat basa
- Gula pentose: monosakarida yang memiliki lima atom karbon dan satu gugus fungsi aldopentosa atau ketopenstosa
Jawaban B
- Mengandung empat macam basa nukleotida yang sama
- Merupakan polimer asam amino
- Mempunyai gula pentose yang sama
- Mengandung gugus fosfat
- Terdiri dari double helix
PEMBAHASAN :
Ciri-ciri molekul DNA dan RNA:
- Asam nukleat yang berperan dalam sintesis protein
- Tersusun atas polinukleotida (polimer nukleotida)
- DNA
- Tersusun atas polinukleotida panjang dan double helix
- Polinukleotidanya terdiri dari gugus fosfat, deoxyribosa, dan basa nitrogennya terdiri dari basa purin ( guanine dan adenine) dan basa pirimidin (sitosin dan timin)
- RNA
- Tersusun atas polinukleotida pendek dan single helix
- Polinukleotidanya terdiri dari gugus fosfat, ribose, dan basa nitrogennya terdiri dari basa purin (guanine dan adenine) dan basa pirimidin (sitosin dan urasil)
Jawaban D








Bagus… membasi siswa untuk lebih paham.
Bagus… membantu siswa untuk lebih paham.